Question:
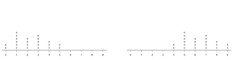
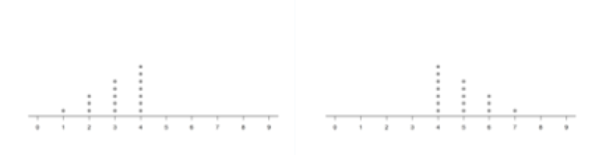
Consider the four pairs of dotplots. Each dotplot represents a set of measurements. For which pairing is the standard deviation corresponding to the dotplot on the right greater than the dotplot on the left?
(A)

(B)
(C)
(D)

Level:
Advanced


The correct answer to this item is Option (C). About 42% of test takers answered this question correctly. When looking at pairs of dotplots, the one with the higher standard deviation will display data that are more spread out from its mean. In Option (C) we can see that the dotplot on the right has a mean at 3.5 (since the data is symmetric about this value) with the rest of the data spread equally on the right and on the left. The corresponding dotplot on the left in that option also has symmetry with data spread out equally on the right and on the left. However, the dotplot on the left has most of the data near the center, where the dotplot on the right has most of the data far from the center. More data that are far from the center means that there are more, larger deviations from the mean. Therefore, the dotplot on the right will have a higher standard deviation than the one on the left.
This item tests one’s ability to make informal comparisons regarding the amount of spread in two different data sets. Options (A) and (B) were selected about 17% and 9%, respectively, and display pairs whose standard deviations are equal (within each option). For Option (A), the standard deviations are equal because the dataset is shifted along the x-axis which does not affect the standard deviation. For Option (B), the pairs are mirror images of each other; while the deviations from the mean for the pairs will differ in signs, these differences wash out when they are squared. Option (D) was the most popular distractor with a response rate of about 31%. While the pair of dotplots shows one with a higher standard deviation than the other, it is the dotplot on the left whose standard deviation is higher.